Ascophyllan HS is a premium seaweed-derived functional ingredient extracted from Ascophyllum nodosum, a large brown algae native to the North Atlantic coast. This standardized extract contains a minimum of 20% ascophyllan content and is backed by extensive clinical research conducted in Japan. Unlike conventional fucoidan supplements, Ascophyllan HS offers a unique polysaccharide structure with significantly higher uronic acid and xylose content, delivering superior immune-modulating activity. The ingredient has earned a patent for infectious pneumonia prevention and demonstrates remarkable efficacy in human clinical trials for immune enhancement and blood glucose management via GLP-1 hormone stimulation. With excellent processing characteristics including low viscosity, minimal seaweed odor, and good water solubility, Ascophyllan HS is ideal for manufacturers seeking science-backed functional ingredients for immune support, metabolic health, and respiratory wellness products.
Composition
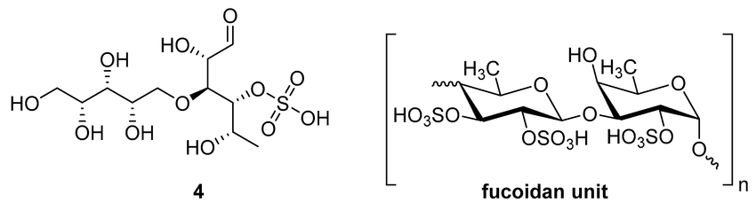
Ascophyllan HS is a sulfated polysaccharide extracted from Ascophyllum nodosum, a large brown seaweed growing up to 2 meters in length found predominantly along the North Atlantic coastlines of Northern Europe, Canada, and Iceland. The polysaccharide has a molecular weight ranging from 100,000 to 300,000 Daltons, making it a high-molecular-weight water-soluble fiber. Its unique sugar composition distinguishes it from common seaweed polysaccharides like fucoidan. The primary structural backbone consists of uronic acid (comprising over 20% of total sugars), with significant amounts of xylose and fucose as side chains. This composition differs substantially from fucoidan, which contains fucose as its main chain with sulfate groups. Additionally, Ascophyllan HS contains various trace minerals and bioactive compounds inherent to marine brown algae.
Functional Benefits
Ascophyllan HS demonstrates multiple clinically validated health benefits. Its most notable function is immune system enhancement. Human clinical trials involving 40-59 year-old Japanese adults showed that 8 weeks of supplementation at 100 mg/day significantly increased Natural Killer (NK) cell activity and elevated serum levels of interferon-gamma (IFN-γ) and interleukin-12 (IL-12). These immune markers are crucial for defending against viral infections and abnormal cell proliferation. Animal studies have demonstrated remarkable anti-pneumonia effects, with mice receiving Ascophyllan HS showing 90-100% survival rates against severe pneumococcal infection compared to only 20% in untreated controls, leading to patent protection for infectious pneumonia prevention. Research has also shown that Ascophyllan HS inhibits viral entry into cells and activates dendritic cells to promote Th1 and Tc1 immune responses.
Beyond immunity, Ascophyllan HS exhibits significant metabolic benefits through GLP-1 (glucagon-like peptide-1) secretion promotion. Cell studies using human intestinal L-cells demonstrated dose-dependent increases in GLP-1 production when treated with Ascophyllan. GLP-1 is an incretin hormone that acts on the hypothalamus to suppress appetite, delays gastric emptying to prolong satiety, and stimulates insulin secretion from pancreatic beta cells. Human clinical trials showed improvements in post-prandial glucose response and HbA1c values after 8 weeks of supplementation, suggesting potential benefits for blood sugar management and weight control. The ingredient also inhibits alpha-glucosidase enzyme activity, further contributing to blood glucose regulation.
Additional documented benefits include oral health support through reduction of volatile sulfur compounds (VSCs) responsible for bad breath, as well as inhibition of dental plaque and tartar formation. Anti-tumor research has shown that Ascophyllan can suppress melanoma cell migration and metastasis through modulation of E-cadherin and N-cadherin expression, with enhanced splenic NK cell activity contributing to anti-metastatic effects in vivo.
Appearance & Texture
Ascophyllan HS is a brown-colored fine powder with a smooth, uniform texture. The extract undergoes careful processing to minimize the characteristic viscosity associated with seaweed polysaccharides, resulting in a low-viscosity powder that is easy to handle and formulate. The particle size is optimized for consistent dispersion in various applications.
Taste & Odor
Unlike many seaweed-derived ingredients, Ascophyllan HS has been processed to significantly reduce the typical marine or oceanic odor associated with brown algae extracts. While a mild seaweed note may be detectable in raw form, the sensory impact is minimal at the recommended dosage. The taste is largely neutral, allowing for versatile formulation without significantly affecting the flavor profile of finished products. When incorporated at 100 mg per serving, any residual taste or odor is easily masked by other formula components.
Solubility
Ascophyllan HS exhibits excellent water solubility, a significant advantage over many other seaweed polysaccharides. The extract disperses readily in aqueous systems without forming clumps or gels, facilitating easier manufacturing processes. Its low viscosity characteristics mean it does not significantly thicken formulations, making it suitable for clear beverage applications where other seaweed extracts might create undesirable texture. This favorable solubility profile allows incorporation into a wide range of delivery formats including liquids, gels, and reconstitutable powders.
Recommended Dose
The recommended daily intake of Ascophyllan HS is 100 mg per day based on human clinical trial protocols. This dosage has been validated in randomized, double-blind, placebo-controlled studies demonstrating significant improvements in immune markers (NK cell activity, IFN-γ, IL-12) after 8 weeks of continuous supplementation. The same dosage protocol showed beneficial effects on blood glucose parameters. For immune support applications, consistent daily intake over several weeks is recommended to achieve optimal results. The 100 mg daily dose provides sufficient ascophyllan polysaccharide (minimum 20% content specification) to deliver measurable functional benefits while remaining commercially feasible for supplement formulations.
Capsules/Tablets. The most common application for Ascophyllan HS is encapsulation in hard capsules or compression into tablets. A typical immune support supplement might contain 100 mg of Ascophyllan HS per serving, either as a standalone ingredient or combined with complementary immune-supporting compounds such as vitamin C, vitamin D, zinc, or beta-glucans. The powder's low bulk density and good flowability make it suitable for automatic capsule filling equipment.
Powder Blends. Ascophyllan HS integrates well into functional powder blends designed for mixing into beverages or smoothies. Its excellent water solubility and low viscosity allow clear dissolution without creating undesirable thickness. The ingredient can be included in immune-boosting drink mixes, metabolic support formulas, or comprehensive wellness powders alongside protein, fiber, vitamins, and minerals.
Functional Beverages. The favorable solubility and sensory profile make Ascophyllan HS suitable for ready-to-drink functional beverages. It can be incorporated into immune-supporting shots, wellness tonics, or enhanced water products. The stability of the polysaccharide allows for various processing conditions including pasteurization.
Soft Gels and Gummies. Ascophyllan HS can be formulated into softgel capsules with carrier oils or incorporated into gummy supplements. For gummy applications, the brown color may need consideration in product design, though it can complement certain flavor profiles such as coffee or chocolate-themed products.
Jelly Products. In Asian markets particularly, Ascophyllan HS has been incorporated into functional jelly sticks, a popular delivery format for dietary supplements. The ingredient disperses well in gel matrices without affecting texture negatively.
General Foods. Beyond supplements, Ascophyllan HS can be added to functional foods including fortified beverages, nutritional bars, and confectionery products marketed for immune or metabolic health support.
Examples
Ascophyllan HS has been marketed under the registered trademark "Barrier Kaiso" (バリア海藻®), emphasizing its protective barrier function for immune health. Various Japanese health food companies have incorporated Ascophyllan HS into their immune support supplement lines, particularly gaining traction following increased consumer interest in respiratory health and immune function. The ingredient has been featured at major industry trade shows including the Health Food Materials & OEM Exhibition in Tokyo. With its patented anti-pneumonia claims and strong clinical evidence, Ascophyllan HS positions well for premium immune support formulations targeting health-conscious consumers seeking scientifically validated natural ingredients.

Ascophyllan is a sulfated polysaccharide classified as a xylofucoglycuronan, extracted from the brown seaweed Ascophyllum nodosum. This large marine algae, growing up to 2 meters in length, thrives along the cold North Atlantic coastlines of Northern Europe, Canada, and Iceland. Ascophyllan is a water-soluble polysaccharide with a high molecular weight ranging from 100,000 to 300,000 Daltons. Its molecular structure distinctly differs from the more commonly known fucoidan found in other brown seaweeds. While fucoidan consists primarily of fucose with sulfate groups, ascophyllan features uronic acid as its main structural backbone, with fucose and xylose attached as side chains. Uronic acid content exceeds 20% of the total sugar composition, significantly higher than in fucoidan. This unique structural configuration contributes to ascophyllan's superior bioactivity in immune modulation and metabolic regulation. The polysaccharide also contains sulfate groups, trace minerals, and other marine-derived bioactive compounds that contribute to its functional properties.
Ascophyllum nodosum has been utilized as a food source and traditional remedy in Northern European coastal communities for centuries. In Nordic countries and coastal regions of Canada and Iceland, this seaweed has been consumed as a vegetable in salads, brewed as tea, and used as an organic mineral supplement. The seaweed was recognized for its rich nutritional content, providing amino acids, minerals, and trace elements. Scientific investigation of ascophyllan as a distinct bioactive compound began in the early 2000s, with Japanese researchers pioneering studies into its extraction, characterization, and functional properties around 2005. Collaborative research with Nagasaki University and international institutions led to the discovery of ascophyllan's potent immune-modulating activities, distinguishing it from fucoidan despite their similar seaweed origins. A landmark achievement came with the patenting of ascophyllan's anti-pneumonia effects, making it one of the few food-grade ingredients with validated respiratory infection prevention claims. Clinical research has expanded to include GLP-1 secretion promotion, blood glucose regulation, and oral health benefits, establishing ascophyllan as a multi-functional ingredient backed by modern scientific evidence.
Ascophyllan exhibits multiple biological activities that distinguish it from other seaweed polysaccharides. Its primary mechanism of action involves direct interaction with immune cells, particularly dendritic cells and natural killer cells. Research has demonstrated that ascophyllan promotes dendritic cell maturation, leading to enhanced Th1 (T helper type 1) and Tc1 (cytotoxic T cell type 1) immune responses. These immune pathways are critical for defending against intracellular pathogens including viruses and for tumor surveillance. In comparative studies with fucoidan, ascophyllan showed stronger activity in inducing nitric oxide and cytokine production from macrophages, indicating superior immune-stimulating potential.
The polysaccharide's anti-infective properties have been extensively validated. In severe pneumococcal infection mouse models, oral administration of ascophyllan dramatically improved survival rates while reducing bacterial load in lung tissue and preventing characteristic pneumonia pathology. This protective effect is mediated through activation of host immune defenses rather than direct antibacterial action, with elevated IL-12 levels indicating enhanced immune surveillance. Research has also shown antiviral activity, including inhibition of HIV viral entry into cells.
Ascophyllan's metabolic benefits center on its ability to stimulate GLP-1 (glucagon-like peptide-1) secretion from intestinal L-cells. GLP-1 is an incretin hormone that plays crucial roles in glucose homeostasis and appetite regulation. By promoting GLP-1 release, ascophyllan can support healthy blood sugar levels through enhanced insulin secretion and delayed gastric emptying. The hormone also acts on hypothalamic centers to reduce appetite and promote satiety, offering potential weight management benefits. Additionally, ascophyllan inhibits alpha-glucosidase, an enzyme responsible for carbohydrate digestion, providing another mechanism for blood glucose regulation.
Anti-tumor research has revealed that ascophyllan can inhibit cancer cell migration and metastasis. Studies on B16 melanoma cells showed that ascophyllan suppressed cell invasion by modulating adhesion molecule expression (reducing N-cadherin while increasing E-cadherin) and inhibiting matrix metalloprotease-9 (MMP-9), an enzyme involved in tumor invasion. In vivo experiments demonstrated reduced lung metastases in mice treated with ascophyllan, with enhanced splenic NK cell activity suggesting immune-mediated anti-tumor mechanisms.
Ascophyllan is not commonly found in regular diets outside of traditional seaweed consumption in Northern European coastal regions. The primary source for functional supplementation is standardized extracts like Ascophyllan HS.
Ascophyllan HSThe commercial standardized extract contains a minimum of 20% ascophyllan polysaccharide content. It is processed to minimize seaweed odor and viscosity while maintaining bioactivity. Available in brown powder form, it is suitable for various supplement formats including capsules, tablets, powders, and beverages.
Immune Support SupplementsAscophyllan HS is primarily formulated into immune-supporting supplements, often combined with vitamins, minerals, or other immune-modulating ingredients. These products target consumers seeking natural approaches to respiratory health and immune resilience.
Metabolic Health FormulationsProducts targeting blood sugar management and weight control can incorporate Ascophyllan HS for its GLP-1 promoting effects. The ingredient complements other metabolic support compounds in comprehensive wellness formulations.
Oral Health ProductsGiven its demonstrated effects on reducing volatile sulfur compounds and inhibiting plaque formation, Ascophyllan HS has potential applications in oral care supplements and functional foods targeting breath freshness.
Ascophyllan HS supplements are generally recommended to be taken with meals. For immune support applications, consistent daily intake over extended periods (8+ weeks based on clinical trial protocols) is recommended to achieve optimal benefits. The 100 mg daily dose can be taken as a single serving or divided into two 50 mg doses. For blood glucose management purposes, taking Ascophyllan HS before or with meals may be advantageous to capitalize on its GLP-1 promoting and alpha-glucosidase inhibiting effects during carbohydrate digestion. There are no specific restrictions on morning versus evening intake, though individual response may vary.
Ascophyllan demonstrates a comprehensive range of biological effects supported by cell studies, animal research, and human clinical trials.
ENHANCES NATURAL KILLER CELL ACTIVITYHuman clinical trials demonstrated significant increases in NK cell activity after 8 weeks of Ascophyllan HS supplementation at 100 mg/day. NK cells are essential components of innate immunity, providing first-line defense against virus-infected cells and tumor cells without requiring prior sensitization. Enhanced NK cell activity translates to improved immune surveillance and faster response to emerging threats.
STIMULATES CYTOKINE PRODUCTIONSupplementation increased blood levels of key immune-signaling cytokines including interferon-gamma (IFN-γ) and interleukin-12 (IL-12). These cytokines promote Th1 immune responses crucial for cellular immunity against intracellular pathogens. IL-12 also activates NK cells and supports the differentiation of cytotoxic T cells, creating a coordinated immune response.
PROTECTS AGAINST RESPIRATORY INFECTIONSAnimal studies demonstrated remarkable protection against severe pneumococcal lung infection. Mice receiving oral Ascophyllan HS showed 90-100% survival compared to only 20% in untreated controls. Histopathological examination revealed prevention of typical pneumonia features including inflammation and tissue damage. This patented anti-pneumonia effect positions ascophyllan uniquely among natural immune-supporting ingredients.
PROMOTES GLP-1 SECRETION FOR METABOLIC HEALTHCell studies confirmed that ascophyllan stimulates intestinal L-cells to produce GLP-1 in a dose-dependent manner. GLP-1 provides multiple metabolic benefits including appetite suppression via hypothalamic signaling, delayed gastric emptying for prolonged satiety, and enhanced glucose-dependent insulin secretion. Human studies showed improvements in post-prandial glucose response and HbA1c values, supporting blood sugar management applications.
SUPPORTS BLOOD GLUCOSE REGULATIONBeyond GLP-1 promotion, ascophyllan inhibits alpha-glucosidase enzyme activity, slowing carbohydrate digestion and reducing post-meal glucose spikes. Clinical trials demonstrated potential improvements in HbA1c, a marker reflecting average blood glucose levels over 2-3 months, suggesting sustained glycemic benefits with regular supplementation.
AIDS WEIGHT MANAGEMENTThrough GLP-1-mediated appetite suppression and delayed gastric emptying, ascophyllan may support healthy weight management. Preliminary monitoring studies have observed weight reduction in subjects taking Ascophyllan HS supplements, though larger controlled trials are needed to confirm magnitude and consistency of effects.
IMPROVES ORAL HEALTHStudies on Ascophyllum nodosum supplementation demonstrated reduction in volatile sulfur compounds responsible for halitosis, along with inhibition of dental plaque and tartar formation. These oral health benefits likely extend to Ascophyllan HS, offering potential applications in breath freshness and dental hygiene support.
DEMONSTRATES ANTI-TUMOR POTENTIALResearch has shown ascophyllan can inhibit cancer cell migration, invasion, and metastasis through modulation of cell adhesion molecules and matrix metalloproteinases. Enhanced NK cell activity provides additional anti-tumor immunity. While human clinical trials for cancer applications are not yet available, preclinical evidence supports continued investigation of ascophyllan's anti-cancer properties.
Adults Seeking Immune SupportIndividuals concerned about immune health, particularly those in environments with elevated infection risk, may benefit from ascophyllan supplementation. The ingredient is especially suitable for adults aged 40+ when natural immune function begins declining.
People Managing Blood Sugar LevelsThose with blood sugar concerns or pre-diabetic conditions may find ascophyllan's GLP-1 promoting and glucose-regulating effects beneficial as part of a comprehensive dietary approach.
Individuals Focused on Respiratory WellnessGiven its patented anti-pneumonia effects, ascophyllan appeals to consumers prioritizing respiratory health, including during cold and flu seasons.
Weight Management SupportPeople seeking natural appetite regulation and metabolic support may incorporate ascophyllan into their wellness regimen.
Those Seeking Oral Health BenefitsIndividuals concerned with breath freshness and dental hygiene can benefit from ascophyllan's effects on oral bacteria and volatile compound reduction.
1] Okimura T, Jiang Z, Komatsubara H, Hirasaka K, Oda T. Therapeutic effects of an orally administered edible seaweed-derived polysaccharide preparation, ascophyllan HS, on a Streptococcus pneumoniae infection mouse model. Int J Biol Macromol. 2020.
2] Zhang W, Du JY, Jiang Z, et al. Ascophyllan purified from Ascophyllum nodosum induces Th1 and Tc1 immune responses by promoting dendritic cell maturation. Mar Drugs 2014;12(7):4148-64.
3] Jiang Z, Abu R, Isaka S, et al. Inhibitory effect of orally-administered sulfated polysaccharide ascophyllan isolated from Ascophyllum nodosum on the growth of sarcoma-180 solid tumor in mice. Anticancer Res 2014;34(4):1663-71.
4] Abu R, Jiang Z, Ueno M, et al. Anti-metastatic effects of the sulfated polysaccharide ascophyllan isolated from Ascophyllum nodosum on B16 melanoma. Biochem Biophys Res Commun 2015;458(4):727-32.
5] Jiang Z, Okimura T, Yamaguchi K, Oda T. The potent activity of sulfated polysaccharide, ascophyllan, isolated from Ascophyllum nodosum to induce nitric oxide and cytokine production from mouse macrophage RAW264.7 cells. Nitric Oxide 2011;25:407-415.

The recommended daily intake is 100 mg per day. This dosage has been validated in human clinical trials demonstrating significant improvements in immune markers including NK cell activity, IFN-γ, and IL-12 after 8 weeks of supplementation. The same protocol showed beneficial effects on blood glucose parameters. Ascophyllan HS can be formulated into capsules, tablets, powder blends, or functional beverages at this dosage level.
Ascophyllan HS promotes GLP-1 (glucagon-like peptide-1) secretion from intestinal L-cells in a dose-dependent manner. GLP-1 is an incretin hormone that stimulates insulin secretion, suppresses appetite, and delays gastric emptying. Additionally, Ascophyllan inhibits alpha-glucosidase enzyme activity, slowing carbohydrate digestion. Human clinical trials showed improvements in post-prandial glucose response and HbA1c values, making it suitable for metabolic health formulations.
While both are sulfated polysaccharides from brown seaweeds, Ascophyllan has a distinctly different molecular structure. Fucoidan contains fucose as its main chain with sulfate groups, whereas Ascophyllan features uronic acid as its backbone with fucose and xylose as side chains. Ascophyllan contains over 20% uronic acid content, significantly higher than fucoidan. Comparative research has shown Ascophyllan exhibits stronger immune-stimulating activity, including greater induction of cytokines and nitric oxide from macrophages.
Ascophyllan HS is derived from Ascophyllum nodosum, a food-grade seaweed with centuries of safe consumption in Northern European coastal regions. The raw material undergoes comprehensive safety testing including acute oral toxicity studies, mutagenicity tests (Ames method), heavy metal analysis, and pesticide residue screening. Clinical trials with 8-week continuous supplementation at 100 mg/day showed no adverse effects. The ingredient meets strict specifications for lead, arsenic, and microbial content, ensuring safety for functional food applications.